许多人对磁铁的初步认识源于其吸附能力,因此它被俗称为“吸铁石”。在日常观念和诸多如磁选、磁吸附等实际应用中,吸力的大小常常被直接用来衡量磁性能的强弱。
在工程应用领域,这种吸力通常指磁铁对所吸附物体产生的拉力,是衡量磁铁应用性能的核心指标。然而,磁铁的吸力并非单一属性,而是由材料的本征性能、磁体的几何参数以及外部磁路设计这三个层面共同决定的系统性表现。
一、 核心基础:材料的本征磁性能
磁性材料是决定磁铁性能上限的根本。评估一种材料时,我们主要关注其退磁曲线上的三个关键参数:
剩磁 (Br):指磁体在被饱和磁化后,移除外部磁场时自身保留的磁场强度,它直接关联到磁体能产生的最大磁通量。
内禀矫顽力 (Hcj):衡量磁体抵抗外部反向磁场或温度变化等退磁因素的能力,是其稳定性的决定性参数。
最大磁能积 ((BH)max):作为退磁曲线上磁通密度B与磁场强度H乘积的最大值,它是评判永磁材料性能等级最关键的综合指标,代表了磁体在气隙中储存和释放磁能的能力。

常见永磁材料性能参数对比
在尺寸、形状和测试条件完全相同的情况下,材料的性能指标越高,其对外展现的吸力就越强。特别是剩磁(Br)和最大磁能积((BH)max),这两项指标与最终吸力的大小直接正相关。一个拥有高(BH)max的磁铁,意味着它能以更小的体积在工作气隙中产生更强的磁场,从而产生更强大的吸力。
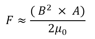
二、 物理规律:磁铁吸力的经验公式
为了更清晰地理解磁吸力的物理原理,我们可以参考一个理想化条件下的经验公式。在理想情况下,即磁铁与一块无限大且磁导率无限高的纯铁板紧密接触时,磁铁的吸力(F)可近似表示为:

此公式中,F代表吸力,B是磁极表面的磁场强度,A是磁极面积,μ₀是真空磁导率常数。
这个公式向我们传达了两个关键信息:首先,吸力与磁极表磁的平方成正比(F∝B2),这是影响吸力的最核心因素。将磁极表磁提升一倍,吸力会增大至四倍。因此,任何能够提升工作表面磁场强度的手段,如选用高性能材料或优化磁路设计,都能极大地提升吸力。
其次,吸力与磁极面积成正比(F∝A),即在表磁相同时,更大的接触面积可以产生更强的总吸力。
需要强调的是,这是一个高度理想化的经验公式,它忽略了现实中必然存在的工作气隙、磁场不均匀性、漏磁以及被吸附物体的材质与厚度限制等重要因素。尽管如此,它依然是理解磁铁吸力来源和进行定性分析的有效工具。
三、 关键变量:磁体的几何、环境与吸附介质
在选定材料之后,磁铁的几何形状及其所处的工作环境成为影响实际吸力的关键变量。
尺寸与形状:磁铁的厚度(沿充磁方向的长度)决定了其抵抗退磁和将磁场投射得更远的能力,在存在较大气隙时表现更佳。而磁铁的直径或边长则决定了磁极面积,直接影响吸力的基础数值。同样体积的磁铁,若形状不同,吸力表现可能差异巨大。例如,相比一个薄而宽的圆片磁铁,一个细长的圆棒磁铁,吸力可能会表现更好。

不同尺寸N35钕铁硼圆片磁铁吸力对比
充磁方向:充磁方向决定了磁极(N/S极)的分布,从而塑造出不同的磁场形态,以适应不同的应用场景,直接影响吸力的作用方式和大小。
工作气隙:这是磁铁表面与被吸附物体之间的距离,是现实中削弱吸力的最主要因素。即便是油漆、铁锈或不平整表面造成的微小缝隙,也会形成气隙,导致吸力呈指数级急剧衰减。因此,获得最大吸力的前提是尽可能减小工作气隙。

N35钕铁硼Φ10x10mm圆片磁铁吸力随气隙变化曲线
吸附介质:被吸附的物体也至关重要。其材质必须是导磁材料(如低碳钢)。如果钢板太薄,会出现“磁饱和”,导致部分磁场穿透泄漏,使实际吸力远低于理论值。同时,粗糙或不平的表面会增大有效气隙,显著降低吸力。
四、 决定性因素:磁路工程设计
磁路设计是一项工程技术,它利用高磁导率材料(如电工纯铁)来引导和汇聚磁通,以实现在特定工作区域内磁通密度的最大化,核心目标是最小化磁路的总磁阻。这是将磁铁性能潜力转化为高效应用的关键一步。
磁路结构对吸力的影响巨大,像开放磁路,单个磁体暴露于空气中,磁通需经过高磁阻的空气形成回路,导致严重的漏磁,因此效率最低,吸力表现最弱。而半开磁路,通过在磁铁的非工作面增加一块导磁体(称为磁轭),为磁通提供低磁阻的返回路径。这能显著减少漏磁,将更多磁通引导至工作面,从而提升磁通密度和吸力。

开放磁路与半来磁路的磁场分布对比
不仅如此,将永磁体嵌入杯状钢壳做成磁扣,钢壳可以充当磁轭,将整个磁体的磁通量汇聚,并强制其通过一个极小的环形区域。

磁扣外观与磁场分布示意图
根据磁通连续性原理,当接触面积(A)急剧减小时,磁场强度(B)会得到极大提升。由于吸力与B的平方成正比,这种设计能使吸力实现极大的增长,使小小的磁扣可以产生巨大吸力。

相同尺寸的N35钕铁硼圆片使用不同磁路结构(开放磁路、半开磁路和磁扣)的吸力数据对比
结论
综上所述,磁铁的吸力是一个由多重因素决定的系统性问题。材料性能是吸力的根本保障;经验公式揭示了磁通密度和面积的核心作用;几何与环境参数(尤其是工作气隙)是影响吸力的直接变量;而磁路设计则是放大和优化吸力的决定性手段,能实现性能的飞跃。
理解了这四个层面,才能在设计和选择磁性产品时,做出最合理、最高效的判断。
磁铁的选用设计,不仅是简单选择一个元件,更是一项系统工程。一个专业的磁性材料供应商,其价值不仅在于提供高性能的磁钢产品,更在于能够凭借深厚的技术积累,为客户提供从材料选择到磁路仿真的全方位技术支持,帮助客户在项目初期就规避风险,实现性能与成本的最佳平衡。
在您的项目中,是否曾因磁铁选型或应用问题而困扰?您更关注磁铁的强力吸附还是耐温性能?欢迎在评论区分享您的案例或疑问,我们共同探讨。如果这篇文章对您有帮助,请不吝点赞和关注,这将激励我分享更多永磁技术领域的专业知识。

